|
||||||
| "
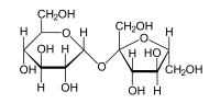
Sucrose (common
name: table sugar, also called saccharose)
is a disaccharide (glucose + fructose) with the molecular
formula C12H22O11. Its
systematic name is α-D-glucopyranosyl-(1→2)-β-D-fructofuranose.
It is best known for its role in human nutrition and is
formed by plants but not by higher animals...
...."
Read
more about Sucrose |
||||||
|
|
To
Rotate Molecule
-->> To
Zoom-->> Jmol
Menu --->> To view Using Chime -- PDB Structure of Sucrose Molecule NOTE: YOU MUST HAVE CHIME INSTALLED |
|
